Эффективное управление поливом: принципы, расчеты, методы
Продолжаем публиковать полюбившиеся читателям материалы известного украинского практика-овощевода, специалиста по капельному орошению Вадима ДУДКИ. Прошлый сезон во многих регионах России и Украины был отмечен сильной засухой, причем это явление в последние годы повторяется все чаще, а ущерб от него – все больше. Без развития орошения не обойтись. Но беда, что здесь многие прежние традиции и навыки утрачены, а новые (при использовании современного оборудования) – еще не наработаны. Как быть? Предоставляем слово Вадиму Владимировичу.
Основной ограничивающий фактор
Каждому агроному хорошо знаком один из основополагающих законов земледелия – закон минимума, который гласит: «величина урожая ограничивается тем фактором, который в данном случае находится в минимуме». Список всех факторов, влияющих на урожайность достаточно длинен (это и свет, и тепло, и обеспеченность каждым элементом питания), но для южных областей Украины и России (а в последние годы нередко и для средней полосы), для Сибири и Казахстана все чаще таким фактором становится влага.
Ученые и агрономы-практики постоянно ищут пути хоть как то решить эту проблему. Выводят засухоустойчивые сорта и гибриды, ведут поиск оптимальных сроков и обработки почвы, и способов посева. Именно эта проблема стала основным стимулом для внедрения технологии No-till, однако самым радикальным способом обеспечения оптимальной влажности почвы на протяжении всего периода вегетации растений может быть только орошение. И потому ежегодно растут площади орошаемых земель, увеличиваются продажи у компаний - поставщиков систем полива, растет и стоимость воды (ибо увеличение спроса на любой ресурс или продукт всегда ведет к повышению цен на них). В этой ситуации нужно всерьез побеспокоиться о том, чтобы росли и доходы тех, кто на этих землях работает.
Но достичь этого можно только одним путем – получением максимально возможных урожаев. А согласно второму закону земледелия (закону оптимума), максимальный урожай достигается не при максимальном значении любого из факторов, а при оптимальном. Иными словами «перелить столь же опасно для растений, сколь и недолить». Полив – важнейший и мощнейший инструмент формирования урожая в зонах недостаточного увлажнения, и точное грамотное его использование может стать главным ключом к кардинальному повышению урожайности культуры.
Управление поливом, по сути своей, сводится к решению двух задач: «сколько поливать?» и «когда поливать?». Как найти точные ответы на эти вопросы?
Сколько поливать?
Главной задачей полива вообще является удовлетворение потребности растений в воде. Они используют ее по-разному. Вода расходуется непосредственно в процессе фотосинтеза, выполняет транспортную функцию, но наибольшее количество воды растениями используется на транспирацию. Ежедневно с каждого гектара испаряется очень много кубометров воды (и в процессе транспирации, и непосредственно с поверхности почвы). И для поддержания относительно стабильной влажности почвы мы должны это испарение компенсировать. А значит, нам нужно посчитать – сколько кубометров воды испаряется в данное время в среднем за день с гектара, и выдавать на поле соответствующие количества воды. Посчитать это возможно.
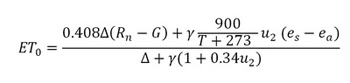
Первым научился это делать в 1948 году Говард Пенман. Он разработал уравнение, которое позволяет рассчитать суточное испарение воды с открытой водной поверхности, исходя из данных о температуре, влажности воздуха, скорости ветра и интенсивности солнечной радиации. А в 1990 году ФАО (Продовольственная и сельскохозяйственная организация ООН) утвердила новый стандарт – расчет эталонного суммарного испарения по уравнению Пенмана - Монтейта (рис. 1), которое на основе тех же погодных параметров позволяет рассчитать, сколько влаги испаряется в данных погодных условиях с гектара травы высотой 12 см. Тогда же были разработаны коэффициенты по культурам, которые позволяют пересчитать этот показатель для каждого конкретного вида наших растений.
Скажем прямо, агрономам вряд ли стало от этого легче. Ибо постоянно фиксировать целый ряд погодных параметров, да потом еще и производить столь сложные расчеты вряд ли покажется реальным. Все радикально изменилось с появлением цифровых автоматических метеостанций. Большинство этих системных устройств (по сути своей это узкоспециализированные компьютеры) умеют не только самостоятельно фиксировать десятки видов погодных данных, но и рассчитывать суммарное испарение по Пенману - Монтейту. На рис. 2 приведен скриншот программы «Phytograph», на котором видно, как система сама не только рассчитала испарение за каждый день, но и выразила его графически и таблично. Остается только просуммировать эти цифры за период от последнего полива, отнять осадки (если они были) и умножить все это на коэффициент по культуре (справочные данные по этому вопросу наиболее полно изложены в книге «Основы фитомониторинга», О. А. Ильницкий, Херсон, изд. «Айлант», 2005). А разделив полученное число на количество дней, получим среднесуточное значение.
И это уже несложно. Пользуясь таким оборудованием, каждый агроном или гидротехник может быстро, точно и без затруднений определить среднесуточную потребность своих растений в воде. При этом ему совершенно не нужно знать это сложнейшее уравнение, достаточно того, что его знает программа.
Вот зачем нужны цифровые метеостанции в хозяйствах! Вот зачем их стоит покупать и устанавливать на поля! И окупаться эти инвестиции будут не только стоимостью сэкономленной воды, но и прибавкой урожая, полученной за счет более верных решений о поливной норме.
Этот метод апробирован во многих странах мира и сегодня является основным для агрономов. И все же он недостаточно точен. Ибо «коэффициент культуры» – это всегда условность. Интенсивность транспирации нашего гектара может зависеть не только от погодных данных, но и от схемы посадки, особенностей сорта... Как более точно узнать, сколько воды сегодня требуется нашим растениям? Надежнее всего – спросить у самих растений. Это тоже несложно при наличии соответствующего инструмента.
Вот уже много лет на наших полях мы используем станции фитомониторинга «Phytech». Они представляют собой комплект датчиков, которые крепятся на самих растениях и непрерывно производят измерения биометрических показателей культуры. Ассортимент датчиков достаточно большой, но в практике открытого грунта наиболее широко используются три из них: датчик температуры листа, датчик роста плода и датчик диаметра стебля.
Датчик температуры листа
Нередко агроном, читая о биологических особенностях культуры в справочнике, видит там строки вроде: «при температуре 32 ºС пыльца данной культуры становится стерильной, а при 35 ºС рост прекращается вообще». Читает агроном и не может понять: ведь летом у нас температура нередко зашкаливает и за 45 ºС! А рост и опыление каким-то образом происходят...
Все дело в том, что решающее значение имеет вовсе не температура воздуха, а температура самого растения. Как мы, заходя в раскаленную сауну до 100 ºС, вполне успешно сохраняем в своем теле стандартные 36,6 ºС, так и растение умеет регулировать свою температуру. Основной механизм этой терморегуляции – транспирация. И механизм этот будет работать исправно, если в зоне корневой системы достаточно влаги, а проводящая система растения в порядке и не поражена болезнями. Таким образом, температура листа – важный показатель не только обеспеченности влагой, но и здоровья сосудистой системы растений.
Датчик диаметра стебля
Эти измерения также могут о многом нам рассказать. На фото 3 отражен график изменения диаметра стебля в сопоставлении с влажностью почвы. На графике видно, что стебель ежедневно растет, при этом его диаметр увеличивается ночью и уменьшается днем. Это как раз и связано с высокой интенсивностью транспирации в дневное время. Так вот, именно амплитуда этих суточных колебаний является ключевым критерием для оценки необходимости полива, ибо, чем больше разница между дневным и ночным диаметром стебля, тем больший дефицит воды испытывает растение.
Кроме того, если отследить по верхним точкам этой волнистой линии динамику нарастания стебля, то можно увидеть реакцию растения на полив. Если после полива скорость роста стебля увеличилась, значит, мы имеем выраженную реакцию на него и нам стоит подумать об увеличении поливной нормы. Незначительные изменения говорят о том, что полив оптимален, а замедление роста стебля свидетельствует однозначно – перелив!
Датчик роста плода
Без преувеличения, самый важный из датчиков. Так как для многих культур именно он позволяет «спросить» у растения – что ему нужно и в каком количестве.
Как это происходит на практике? Такие датчики ставятся в двойном комплекте (основной и контрольный участки). Далее мы формулируем вопросы, например, «а правильно ли я посчитал по Пенману поливную норму? Не стоит ли ее немного увеличить?» и на основном участке выдаем увеличенную норму, а на контрольном поливаем строго по Пенману. А дальше просто сравниваем динамику роста плода. В каком варианте получен больший прирост – тот вариант и применим на всем поле. И так день за днем, любое решение мы можем сначала проверить на этих участках. И тогда наши решения становятся безошибочными, ибо динамика роста плода – это и есть динамика формирования нашего урожая. Многие фермеры, годами использующие эти системы, настолько освоили работу с ними, что по размеру плода могут ежедневно знать, сколько тонн продукции на гектаре у них уже наросло. Подобный пример я видел в саду, где фермер прекрасно знал и густоту стояния, и среднее количество плодов на дерево, и отношение диаметра плода к его массе для своего сорта, и другие показатели.
Сравнивать можно не только данные с основного датчика с контролем. Важно также наблюдать динамику в развитии (замедлился рост плода или ускорился, если замедлился, можно разобраться – почему, накладывая данные друг на друга). На фото 4 показано, как сопоставление динамики роста плода позволяет оценить правильность режимов полива (замедление роста плода после полива означает перелив, резкое возрастание скорости – сигнал к пересмотру режима орошения в сторону увеличения).
Как работают эти системы? Каждые 20 минут рипитеры снимают показания датчиков и периодически отправляют их на сервер для обработки. И мы получаем возможность в буквальном смысле слова видеть, как формируется наш урожай. А значит – и влиять на процесс его формирования путем коррекции режимов полива, подкормок, да и вообще любых операций по уходу за растениями. Реакция культуры – абсолютный и безупречный критерий оценки правильности принимаемых нами агрономических решений.
Но вернемся к вопросам управления поливом. Итак, по уравнению Пенмана - Монтейта мы рассчитали среднесуточную потребность нашего поля в воде (с учетом коэффициента культуры), далее, просмотрев динамику роста плода и амплитуду суточных колебаний диаметра стебля, мы уточнили эти цифры и определились с полной уверенностью, что на данном поле наша культура требует в среднем 60 м³ воды в сутки.
Как поливать?
Теперь возникает вопрос – и как нам эти «кубы» выдать? Было бы заманчиво в виде ежедневных поливов. Каждый день по 60 кубометров, постоянное поддержание влажности почвы на оптимальном уровне, разве плохо? Плохо. Ибо излишняя частота полива даже на капельном орошении приводит к тому, что поверхность почвы постоянно влажная, а это способствует обострению проблем с болезнями, да и технически это гораздо сложнее – ежедневно открывать – закрывать множество задвижек. А на дождевании вообще даже предлагать такой режим полива нелепо.
Гораздо проще поливать периодически. Выдавать ту же среднесуточную потребность 60 кубометров на 1 га в виде полива раз в два дня по 120 кубометров или раз в три дня по 180… Вот только ошибиться тут тоже нельзя. Потому что степень влажности почвы характеризуется тремя важнейшими показателями: предельная влагоемкость, наименьшая влагоемкость и влажность завядания.
Предельная влагоемкость – неприемлемое состояние для растений, это состояние почвы, когда и поры, и капилляры в ней заполнены водой, почва лишена воздуха, необходимого для корневой системы. Влажность завядания – вторая крайность, в этом состоянии воздух наполняет не только поры, но и значительную часть капилляров, и растения не могут брать влагу из почвы, проявляют признаки устойчивой потери тургора.
Наименьшая влагоемкость (НВ), это идеальное состояние почвы, когда поры ее наполнены воздухом, а капилляры – водой, корневая система сбалансированно обеспечена и воздухом, и влагой. Именно поэтому, описывая потребности культуры в воде, в справочниках пишут, например, «не менее 80 % НВ». А какова НВ на вашем поле? Кто-то ее измерял? Все дело в том, что для каждого типа почвы этот показатель разный. И зависит он в первую очередь от механического состава почвы (соотношение частиц разного размера, составляющих твердую фракцию почвы).
На рисунке 5 графически изображены потенциальные запасы продуктивной влаги в почвах различного механического состава. Важно обратить внимание не только на то, насколько разное значение имеет НВ для разных видов почвы, но и на различия в диапазоне между НВ и влажностью завядания. На глинах и песках этот диапазон очень узок. Именно на таких почвах мы вынуждены поливать часто, поскольку периодические поливы даже при точном расчете поливной нормы будут приводить к тому, что состояние влажности завядания в день перед поливом будет резко сменяться состоянием предельной влагоемкости после него.
А вот разновидности почв в центре диаграммы позволяют нам поливать не столь часто, при этом сохраняя влажность почвы в оптимальных диапазонах. Как определить – где на этой диаграмме ваша почва? Это тоже несложно. Нужно просто провести гранулометрический анализ почвы. Только не методом «вылепливания шариков и шнурков из почвы», а серьезными лабораторными измерениями, в результате которых появятся конкретные цифры – содержание в нашей почве частиц песка, глины и ила. И эти цифры мы введем в несложную компьютерную программу «калькулятор гидрологических свойств почвы» (скриншот программы на рис. 6).
Эта программа и рассчитает все ключевые показатели – и предельную влагоемкость, и НВ, и влажность завядания. Важно знать, что гранулометрический состав почвы достаточно стабилен и, в отличие от агрохиманализа, его не нужно измерять ни ежегодно, ни даже раз в пять лет. Результаты такого анализа и рассчитанные показатели свойств почвы вам пригодятся на десятилетия.
Гранулометрический анализ также позволяет правильно определиться и с водовыливом наших систем орошения. Принцип все тот же – почвы разного механического состава имеют различную фильтрационную способность, и водовылив капельниц никак не должен превышать скорость впитывания воды почвой, иначе на ее поверхности будут образовываться лужи, и вместо капельного орошения мы получим, в лучшем случае, полив по бороздам.
Все принципы управления поливом здесь рассматривались на примере капельного орошения. Но это вовсе не значит, что на дождевании что-то происходит принципиально иначе. Выбирая себе оросительное оборудование «Кубань» или «Бауэр», точно так же нужно сначала изучить свою почву. А чтобы правильно подобрать спринклеры по типу и производительности, запуская эти поливные машины в работу, следует рассчитывать поливную норму по Пенману - Монтейту. Любой полив требует точного расчета на основе достоверных и точных данных о состоянии почвы, погодных параметрах и потребности культуры. Только такая точность позволяет реализовать тот огромный потенциал прибавки урожая, который дает нам полив в засушливые годы.
Вадим ДУДКА,
генеральный директор компании «АгроАнализ», г. Каховка, Украина
Фото «АгроАнализа»
Контактная информация
Вадим Владимирович ДУДКА
Тел.: (10380) 503-15-66-36
www.agroanaliz.ru
В России – ООО «АгроАнализ-Дон», г. Азов
Тел.: (86342) 6-55-04
agroanaliz-don@yandex.ru
ЗАО «Агродоктор», г. Новосибирск
Тел.: (3833) 99-00-82,
моб. тел.: (913) 951-18-09
ООО «АгроАнализ-Казахстан», г. Алматы
Тел.: (7777) 32-76-54
Подписи к фото
Полив дождевальными установками
Уравнение Пенмана - Монтейта
Проведение гранулометрического анализа почвы для определения предельной влагоемкости, наименьшей влагоемкости и влажности завяданияРасчет суточного (эталонного) испарения по Пенману - Монтейту, выполнен программой «Phytograph»
Диаметр стебля в сопоставлении с влажностью почвы
Сопоставление динамики роста плода и влажности почвы
Потенциальный запас продуктивной влаги в почвах
Калькулятор гидрологических свойств почвы
Опубликовано в номере 1 за 2013 год
Перепечатка и копирование материалов на электронные ресурсы только с письменного разрешения редакции и с указанием первоисточника.